Artículos
DETERMINANTES URBANOS DEL PRECIO DE LA VIVIENDA EN CHILE: UNA EXPLORACIÓN ESTADÍSTICA
URBAN DETERMINING FACTORS OF HOUSING PRICES IN CHILE: A STATISTICAL EXPLORATION
DETERMINANTES URBANOS DEL PRECIO DE LA VIVIENDA EN CHILE: UNA EXPLORACIÓN ESTADÍSTICA
Urbano, vol. 24, núm. 43, pp. 40-51, 2021
Universidad del Bío Bío

Recepción: 28 Enero 2021
Aprobación: 11 Mayo 2021
Resumen: A partir de la implementación del Consejo Nacional de Desarrollo Urbano en Chile se ha puesto en marcha un Sistema de Indicadores y Estándares de Desarrollo Urbano. Uno de los principales problemas urbanos que enfrentan las ciudades chilenas es el aumento del precio de la vivienda. A raíz de ello, el presente estudio busca informar cómo los atributos urbanos influyen en los precios de las viviendas. Con tal fin, se catastran 2047 proyectos de vivienda para revisar cuáles indicadores de estándares de desarrollo urbano explican en mejor medida sus precios. Se aplica un análisis de componentes principales y regresiones lineales múltiples con las variables. Los resultados muestran una alta dependencia del precio sobre la autonomía financiera de las comunas e indican que la segregación residencial es incidental en cuanto a formación de valor de compra de viviendas.
Palabras clave: Vivienda, precios, regresión, desarrollo urbano, evaluación económica.
Abstract: Starting from the implementation of the National Urban Development Council in Chile, an Urban Development Indicators and Standards System has been put in motion. One of the main urban problems faced by Chilean cities is the increase in housing prices. From this, the study looks to find how urban attributes influence housing prices. For this purpose, 2047 housing projects were surveyed to review which urban development standards indicators best explain their prices. An analysis of main components and multiple linear regressions are applied, together with the variables. The results show a high price dependence on the financial autonomy of the communes, and indicate that residential segregation is incidental to the formation of housing price value.
Keywords: Housing, prices, regression, urban development, economic evaluation.
INTRODUCCIÓN
El precio de la vivienda en Chile presiona significativamente los ingresos de los hogares (Vergara-Perucich y Boano, 2018). En 2019, la Cámara Chilena de la Construcción presentó su evidencia para indicar que la vivienda se estaba convirtiendo en un bien inalcanzable para las familias (CNN Chile, 10 mayo 2019). La falta de sistemas públicos de provisión de vivienda, el aumento del rol de entidades financieras en el mundo inmobiliario y la ausencia de sistemas de regulación del precio, han permitido que dichos valores superen la capacidad de pago de parte importante de los hogares, generando un déficit estructural que entre 1998 y 2017 aumentó un 0.12%, a pesar de que en el mismo período se han inyectado UF 498.444.111 (Ministerio de Vivienda y Urbanismo [MINVU], 2021). Diferentes aproximaciones han presentado hallazgos acerca del modo en que ciertos atributos urbanos explican parte de la formación de precios de vivienda. Cortés e Iturra (2019) sostienen que amenidades provistas por el Estado tienden a reducir el precio de la vivienda mientras que aquellas provistas por el mercado tienden a aumentarlo. Encinas, Marmolejo-Duarte, Wagemann y Aguirre (2019) plantean, por su parte, que las cualidades relativas a la sustentabilidad son menos relevantes para consumidores que el precio de la vivienda, mientras que la condición monopólica de la localización permite explicar gran parte del precio de venta de la vivienda (Encinas, Aguirre, Truffello e Hidalgo-Dattwyler, 2019). El precio comercial de la vivienda en Chile es un aspecto crítico para los hogares, pero es una problemática poco explorada. Concretamente, este artículo explora el precio de la vivienda en relación con el Sistema de Indicadores de Estándares y Desarrollo Urbano del Consejo Nacional de Desarrollo Urbano (SIEDU). Diversos estudios han analizado la formación del precio de la vivienda chilena a partir de sus elementos construidos (Figueroa y Lever, 1992), cualidades tipológicas (Sagner, 2009), potencial económico de atributos (Iturra y Paredes, 2014; Quiroga, 2013), tasas de interés (Parrado, Cox y Fuenzalida, 2009) o el índice de precios de la construcción (Silva y Vio, 2015). No obstante, dichos trabajos no tuvieron acceso al recientemente lanzado SIEDU, a diferencia del aquí expuesto, que utiliza principalmente elementos urbanísticos. Los hallazgos de esta investigación buscan complementar aproximaciones previas, privilegiando indicadores fundamentales para los estudios urbanos.
El objetivo de este artículo radica en informar los determinantes fundamentales del precio de la vivienda en Chile, a partir de los aspectos urbanísticos reflejados en los indicadores para 90 comunas seleccionadas. Para ello, se registraron 2047 viviendas nuevas en ciudades de Chile con proyectos a la venta en 2021. Complementariamente, se tomaron los indicadores SIEDU que cuentan con datos de las comunas revisadas para generar tres aproximaciones, una síntesis de variables con un análisis de componentes principales, que generó 11 componentes sintéticos; una regresión lineal múltiple para ver cuál de los 11 componentes mejor explica el precio de la vivienda y una segunda regresión con las 37 variables originales. Los resultados indican que la autosuficiencia financiera de las comunas, la segregación residencial y el déficit son factores preponderantes que empujan al alza el precio de la vivienda. Estos datos pueden aportar a estudios econométricos que trabajan con precios hedónicos para teorizar los fundamentales de cada elaboración, además de informar otro tipo de estudios que exploren la formación del precio de la vivienda nueva en Chile.
MARCO TEÓRICO
Uno de los tópicos más abordados en economía urbana es la formación de precios del mercado de propiedades, para lo cual existen diferentes aproximaciones con distintos énfasis metodológicos pero convergentes (Evans, 1985). Uno de los precursores en este ámbito fue Johann von Thünen, quien planteó las bases para comprender la importancia de la ubicación para definir el valor de una propiedad (García Ramón, 1976), postulados que luego serían aplicados en la ciudad y sus centralidades por William Alonso en la bid rent theory de 1964. Estos postulados iniciales indicaban que el precio de la vivienda depende tanto de factores demográficos como del poder de compra de los hogares (Taltavull, 2003). Desde una mirada que se enfoca en los factores urbanísticos, Berry y Garrison (1958) advierten que los atributos de cada barrio contribuyen a definir el valor de las propiedades. En gran parte de la literatura especializada existe consenso sobre el vínculo entre precio de la vivienda, localización y atributos urbanos (Fujita, Krugman y Venables, 1999).
La econometría ha permitido comprender la relación entre espacio producido y valor comercial de la ciudad. Tal relación puede ser virtuosa cuando influye en que los desarrolladores busquen diseños urbanos óptimos. Esta fue una de las contribuciones de Case y Shiller (1990), quienes demostraron la autocorrelación espacial entre valores de vivienda y cualidades urbanas, enlazando los atributos de la vivienda con los del barrio. El estudio del precio de la vivienda se nutre de la teoría del consumo y la economía del comportamiento, a partir de los aportes de Michael Ball (1973), quien explica dichos valores a través de los rasgos “fundamentales”, es decir, los atributos de cada vivienda que determinan su valor de comercialización. Luego, Allen Goodman (1978) - inspirado en las ideas de Sherwin Rosen (1974)- elabora un índice de precios hedónicos de vivienda, demostrando cómo las cualidades de los barrios explican en buena parte los precios. Actualmente, aquel es el método más usado para explicar precios de vivienda (Sheppard, 1999; Yavuz Ozalp y Akinci, 2017). Cabe agregar que Ball (1973) enfatiza en la importancia de generar bases estadísticas amplias para realizar este tipo de estudios, con una representación muestral estadísticamente adecuada a los tests, para que las conclusiones generadas sean realmente relevantes en un tema sensible como la vivienda.
En Chile, Figueroa y Lever (1992) proponen como atributos fundamentales en el establecimiento del precio de la vivienda en Santiago, la superficie del terreno, la presencia de servicios y el nivel socioeconómico del barrio, y la densidad de construcción. En 2009, Sagner identifica como variables fundamentales, la antigüedad de la vivienda y su superficie. Paredes e Iturra (2014), entre tanto, señalan que se trata del precio de arriendo, la cantidad de dormitorios y baños, el índice global de calidad de la vivienda, los metros cuadrados, como también la escolaridad, la edad y el género de los habitantes de la vivienda (Iturra y Paredes, 2014). Según Quiroga (2013), existen variables menos jerárquicas de la vivienda, como el número de baños o de propietarios que viven en su propia vivienda, las cuales inciden sobre el precio de un barrio. Para Parrado et al. (2009), son fundamentales las tasas de interés y aumento del ingreso de los hogares, junto con un buen balance entre demanda y oferta de unidades de vivienda. En la misma línea, Silva y Vio (2015) destacan la influencia de variables macroeconómicas como renta disponible, tasas de interés y costos de construcción en el precio de la vivienda.
La expectativa del precio futuro de la vivienda es un vector en la fijación de precios, a pesar de que este fenómeno podría dejar espacio para burbujas inmobiliarias de no mediar regulaciones apropiadas (Cohen, Ioannides y Wirathip Thanapisitikul, 2016; Cohen y Zabel, 2020). Los actores financieros han ido ocupando mayor protagonismo en el mercado de suelo lo que puede generar un problema de accesibilidad a la vivienda (Gasic, 2018), ya que el valor de suelo es determinante dada su condición monopolística (Encinas, Aguirre et al., 2019). A ello se suma que el rol del Estado subsidiario reside en inyectar recursos al mercado inmobiliario más que en participar del sistema como actor productor de vivienda (Hidalgo Dattwyler, Paulsen Bilbao y Santana Rivas, 2016; Razmilic, 2010).
La relación entre los precios de la vivienda y variables urbanas, como las del SIEDU, aún no ha sido explorada. Esto es relevante a la hora de complejizar la formación de precios de la vivienda a partir de aspectos urbanísticos, lo cual resulta clave para prever cómo las mejoras urbanas con fondos públicos aumentan los precios, sin captura de plusvalías (Vergara-Perucich y Aguirre-Núñez, 2020). Entender la formación de precios de vivienda es, en efecto, esencial. Ante una desigualdad de negociación en economías de libre mercado, los precios de las propiedades dependerán en gran parte del liderazgo de clase que tomen actores rentistas con gran poder de compra transferido en patrimonio inmobiliario, lo que incluso será bien visto por el mercado como síntoma de rentabilidad, aunque esto merme el acceso a la vivienda de hogares con limitado poder de compra (Harvey, 1985). Una excelente manera de identificar la especulación en el mercado de la vivienda es midiendo la distancia entre precio y atributos fundamentales (Coskun y Jadevicius, 2017; Dreger y Zhang, 2013; Gil-Alana, Dettoni, Costamagna y Valenzuela, 2019). Estando Chile en una crisis del acceso a la vivienda (CNN Chile, 10 mayo 2019), reconocer cuan separado está su precio vivienda de sus variables fundamentales, requiere identificar los factores que determinan esa relación.
ESTUDIO DE CASO
La investigación se centró en 90 comunas en las que registró precios promedio de vivienda nueva, para casas y departamentos (Anexo 1). Los datos fueron recopilados de los sitios web TOCTOC.com, Portalinmobiliario.com y Pabellon.cl, entre diciembre de 2020 y enero de 2021. Se catastraron 2047 ofertas: 554 casas y 1493 departamentos. El precio promedio de la vivienda nueva a nivel nacional resultó ser de 48.4 UF/m.. Los valores a nivel comunal se sintetizan en la Figura 1.
METODOLOGÍA
Para evaluar las determinantes urbanas del precio de la vivienda, se ha trabajado con el Sistema de Indicadores y Estándares de Desarrollo Urbano, SIEDU. Estos indicadores surgen de un acuerdo entre el Consejo Nacional de Desarrollo Urbano (CNDU), el Ministerio de Vivienda y Urbanismo (MINVU) y el Instituto Nacional de Estadísticas, para medir la calidad de vida urbana a fin de reducir las desigualdades, además de monitorear la efectividad de políticas urbanas y habitacionales (Infraestructura de Datos Espaciales [IDE], 2021).
SIEDU contempla 76 indicadores para 117 comunas con más de 50.000 habitantes (CNDU, 2020), pero no todas las comunas registran datos para los 76 indicadores, razón por la cual se tuvo que reducir la cantidad de indicadores a analizar, de manera de permitir que un mayor número de comunas entraran en el estudio. Debido a que algunas comunas no presentaban proyectos, se decidió trabajar con las 90 que sí permitían completar la muestra de los 37 indicadores. A pesar de la reducción, la muestra sigue siendo variada y ofrece una riqueza para el análisis, que podrá ser contrastado en el futuro con nuevos estudios, similares a los que se presentan en este artículo, pero que utilicen versiones actualizadas para todas las comunas y todas las variables del SIEDU. Se determinó, posteriormente, recalcular el indicador “Índice de segregación de la población vulnerable” con datos censales (Anexo 2), aplicando un índice de disimilitud. SIEDU no contaba con información completa sobre transporte público para lo cual se acudió a la encuesta CASEN 2017, mediante la que se identificó la proporción de hogares a menos de 8 cuadras de paraderos. Los indicadores empleados, en definitiva, se muestran en la Tabla 1.
| Distancia a plazas públicas | Promedio de intersecciones relevantes cada 1,44 km² | Porcentaje de viviendas con situación de allegamiento externo |
| Superficie de plazas públicas por habitante que cumple estándar de distancia (400 metros) | Número de víctimas mortales en siniestros de tránsito por cada 100.000 habitantes | Porcentaje de la población en situación de pobreza (pobreza por ingresos MDS) |
| Distancia a parques públicos | Número de víctimas lesionadas en siniestros de tránsito por cada 100.000 habitantes | Porcentaje de la población en situación de pobreza (pobreza multidimensional MDS) |
| Porcentaje de población atendida por el sistema de plazas públicas | Cantidad (kg) de disposición final de residuos sólidos urbanos per cápita | Índice de segregación de capital humano avanzado |
| Porcentaje de población atendida por el sistema de parques públicos | Consumo de energía eléctrica per cápita residencial | Número de denuncias por delito en el espacio público cada 100 habitantes |
| Superficie de áreas verdes públicas por habitante | Consumo de energía eléctrica per cápita no residencial | Porcentaje de superficie no construida (sitios eriazos) en áreas urbanas |
| Distancia a centros de salud primaria | Tasa de conexiones residenciales fijas de internet por cada 1.000 viviendas particulares | Diferencia entre el valor de suelo más alto y el más bajo, en las áreas homogéneas (urbanas) definidas por el Servicio de Impuestos Internos |
| Cantidad de jornadas diarias completas de trabajo de médicos en salud primaria por cada 10.000 habitantes | Indisponibilidad de suministro eléctrico - indicador SAIDI anual | Porcentaje de la inversión nacional a escala comunal en la que participa el municipio como institución contratante |
| Distancia a establecimientos de educación básica | Porcentaje de manzanas con veredas con buena calidad de pavimento | Plan regulador comunal actualizado |
| Razón entre disponibilidad efectiva de matrículas y demanda potencial por educación básica | Porcentaje de viviendas particulares que requieren mejoras de materialidad y/o servicios básicos | Participación del Fondo Común Municipal (FCM) en el ingreso municipal total (descontadas las transferencias) |
| Distancia a establecimientos de educación inicial | Requerimiento de viviendas nuevas urbanas | Plan Regulador Comunal (PRC) reconoce inmuebles y/o zonas de conservación histórica |
| A menos de 8 cuadras de transporte público | Porcentaje de viviendas en situación de hacinamiento | Porcentaje de participación en las elecciones municipales, por comuna |
| Porcentaje de inversión pública destinada a proyectos que tienen procesos de intervención de restauración de inmuebles patrimoniales sobre el total de inversión destinada a proyectos con recomendación favorable | ||
Una vez definido lo anterior, se aplicó la técnica de análisis de componentes principales (ACP) y la de regresión lineal múltiple. El ACP es un estudio de las variables cuyo objetivo es verificar cuáles de ellas tienen menos correlación, descomponiendo los autovalores en matrices (Lalloué et al., 2013),. Los factores resultantes generan nuevos grupos de variables, reduciendo el tamaño muestral, para así facilitar el estudio por regresión (Anexo 3). Con los componentes principales se efectúa una regresión lineal múltiple (Cai y Liu, 2015; Rebelo, 2009), testeando la influencia que tienen los componentes sobre el precio promedio de la vivienda por comuna, con la siguiente fórmula 1:
Donde,
β.: el valor de la variable Y cuando todos los predictores son 0
β.: el efecto promedio del incremento de una unidad de la variable Xi sobre la variable Y
e.: residuo entre el valor observado y estimado del modelo.
RESULTADOS
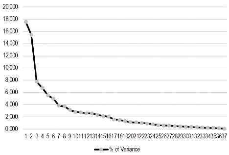
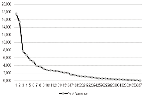
La aplicación del ACP genera 11 componentes que sintetizan el 71.6 % de las variables analizadas, lo que se ve representado en la Figura 2. La prueba Kaiser-Meyer-Olkin sobre la muestra es de 0.67, que indica una composición adecuada.
A partir de estos componentes (Tabla 2), se realiza una regresión lineal múltiple (Tabla 3), que genera 10 modelos diferentes, donde el modelo con mejor ajuste integra 10 componentes y explica el 76% de las variaciones del precio de la vivienda nueva. El componente más relevante es la condición de comuna autosuficiente -FAC4-: comunas con áreas verdes mantenidas, con establecimientos educativos y baja dependencia del fondo común municipal, con baja cantidad de personas en situación de pobreza multidimensional. Este es un hallazgo original para el caso chileno. El siguiente componente que destaca es la homogeneidad socioeconómica de bajos ingresos -FAC3-, relacionada a la disminución del precio de vivienda, contrapuesta a la homogeneidad socioeconómica alta -FAC1-, asociada al aumento del valor. Esto indica que la segregación sí impacta sobre el precio de la vivienda, resultado que dialoga con los hallazgos previos de Figueroa y Lever (1992) y con los de Sagner (2009). Otro factor es la escasez de vivienda asequible -FAC8-, de lo que se puede inferir un aumento de valor en aquellos barrios consolidados, con espacios públicos de buena calidad -FAC5-. Es importante observar este resultado a la luz de la lógica subsidiaria del Estado, como ya ha sido señalado por Hidalgo Dattwyler et al. (2016) y por Razmilic (2010). El precio de la vivienda se vincula a la reducción ante tránsito vehicular dominante -FAC2-, localización periférica -FAC6- y, en menor medida, a la presencia de barrios patrimoniales -FAC9-. Finalmente, otros elementos ligados al aumento del precio son la densidad moderada -FAC11- y un buen sistema de gobernanza urbana -FAC7- con instrumentos actualizados e inversión pública.
| FAC1: Homogeneidad socioeconómica alta del barrio | Concentra indicadores de homogeneidad socioeconómica para estratos de altos ingresos |
| FAC2: Tránsito vehicular privado motorizado significativo | Comunas que cuentan con áreas suburbanas y donde la vialidad y tránsito vehicular es relevante |
| FAC3: Homogeneidad socioeconómica baja del barrio | Concentra indicadores de homogeneidad socioeconómica para estratos de bajos ingresos |
| FAC4: Comunas autosuficientes | Comunas con buen presupuesto municipal, hogares con tecnología y con buena accesibilidad a bienes públicos |
| FAC5: Espacios públicos apropiados | Buena distribución de servicios y bienes públicos |
| FAC6: Frontera periférica urbana | Compuesto de espacios con urbanizaciones sitios eriazos, bajo acceso a suministro eléctrico, segregación y presencia de viviendas precarias |
| FAC7: Gobernanza urbana | Comunas con instrumentos de planificación territorial actualizados. |
| FAC8: Seguridad pública | Altas denuncias de delitos |
| FAC9: Barrios patrimoniales | Gestión patrimonial en áreas centrales |
| FAC10: Zonas en renovación urbana | Valor de suelo heterogéneo sin inmuebles históricos y con mixtura social |
| FAC11: Densidad moderada | Demanda de vivienda alta, alta producción de residuos sólidos, con allegamiento y hacinamiento |
De manera complementaria, se realiza una regresión lineal múltiple con los 37 indicadores SIEDU. En este modelo (Tabla 4) las variables explican 83.4% de la varianza del precio, aunque en este caso algunas variables están al límite de la tolerancia de colinealidad, es decir, podrían repetir los argumentos explicativos. Entre las variables relacionadas al aumento del precio, se encuentran el consumo de energía eléctrica residencial, las intersecciones viales relevantes por cada 1.44 km. y la demanda de vivienda nueva en la comuna. Por otro lado, factores asociados a reducir el precio de la vivienda, son la dependencia presupuestaria del Fondo Común Municipal, la superficie de plazas públicas a 400 metros y la disponibilidad de matrículas para educación básica.
Por último, tomando como ejemplo la comuna de La Pintana, a partir del modelo se proyecta un precio de vivienda de 36.9 UF/m., solo un 6% diferente del valor de mercado. Usando la fórmula de la regresión, se proponen tres hipótesis expresadas en la Tabla 5.
En la primera hipótesis (i), si La Pintana duplica las superficies de plazas públicas el precio de la vivienda se reduce en un 7%. Para explicar este resultado contraintuitivo, puede señalarse que la presencia de plazas públicas no necesariamente asegura su mantención por parte de las municipalidades y que, por lo tanto, la baja del precio expresada sea reflejo del deterioro del espacio público. En la segunda hipótesis (ii), si La Pintana reduce su dependencia del Fondo Común Municipal a la mitad, el precio de la vivienda aumenta un 14%, lo que es efecto de la autonomía financiera municipal, como se indica en los resultados de las regresiones. En la última hipótesis (iii), si se duplica la demanda de vivienda, el precio aumenta un 13%, lo cual se explica por la dinámica de oferta y demanda (Nordhaus y Samuelson, 2006). Cabe advertir que el anuncio de una extensión del Metro hasta La Pintana, se vería acompañado de un aumento de requerimientos de vivienda, por lo que sería clave revisar si los habitantes de la misma comuna podrán pagar ese aumento de precio para permanecer en esa comuna.
DISCUSIONES
Los resultados expuestos entregan elementos novedosos para avanzar en la compresión de la definición del precio de las viviendas, como también de la capacidad financiera de las comunas y su independencia del Fondo Común Municipal. Para ilustrar esta característica, es necesario mencionar que las comunas con mejores valores en FAC4 son Santo Domingo, Providencia, Santiago, Casablanca y Vitacura: municipios ricos que marcan un alza en los valores, a partir de lo cual se genera exclusión socioeconómica. Asimismo, debe subrayarse que el precio de la vivienda presenta una clara relación con la homogeneidad socioeconómica de la comuna, situación que revela la importancia de generar mecanismos inclusivos de vivienda asequible para romper con la segregación. Así lo han constatado igualmente otras aproximaciones que han buscado explicar este fenómeno desde otros enfoques (Hidalgo Dattwyler et al., 2016).
En general, los barrios con fácil acceso a bienes y servicios, pericentrales, homogéneos socioeconómicamente, amigables al peatón y en proceso de renovación de residentes, aparecen vinculados a un aumento en el precio de la vivienda. Mientras que espacios con predominancia vial en fronteras urbanas, o bien, en centralidades abandonadas quedan ligados a la reducción de dicho precio. Esto ratifica una observación realizada por Encinas, Aguirre et al. (2019): la condición monopolística del suelo es clave en la definición de precios de la vivienda. En base a estos resultados, se puede detallar cuáles atributos de esas localizaciones son más rentables; características a partir de las cuales la captura de plusvalía podría ser una alternativa de equidad territorial a explorar (Vergara-Perucich y Aguirre-Núñez, 2020).
Sobre la segunda regresión, los postulados de Cortes y Iturra (2019) acerca de que los servicios provistos por el Estado impactan negativamente el precio de la vivienda con relación a aquellos provistos por el mercado, son concordantes con los resultados de este análisis, aunque no es igual para todo tipo de servicios del Estado. Se puede inferir que servicios públicos específicos están vinculados a un menor precio de la vivienda, los que pueden referirse a usos donde el mercado tiene un rol menor, como colegios públicos o plazas. Ahora bien, existen servicios públicos más deseables, como la calidad vial y la electricidad.
SIEDU debe completar sus variables con medidas de financiarización y subsidiariedad si se pretende que los diagnósticos apunten a una ciudad inclusiva e integral. En el marco teórico aquí expuesto se indicó que estudios previos sitúan como fundamentales los datos macroeconómicos para explicar el precio de la vivienda (Parrado et al., 2009; Silva y Vio, 2015). Estos aspectos tienen difícil representación material, pero no por ello son menos urbanísticos. Sobre este punto, el estudio no ha podido revisar si las entidades financieras con propiedad de suelo presionan el precio de la vivienda o si la presencia de proyectos con subsidios lo reduce. Se recomienda incorporar a SIEDU la tasa de morosidad, la tasa de interés hipotecaria local, la cantidad de viviendas adquiridas con instrumentos financieros, el IPC local o regional y la concentración de la propiedad en personas que no viven en la región, para monitorear potenciales crisis financieras a partir de procesos urbanos (Gil-Alana et al., 2019). Asimismo, es preciso incluir factores de salud y de mortalidad desde el Ministerio de Salud. Esto último, es parte de las lecciones que deja la pandemia: los problemas sanitarios son territoriales (Mena et al., 2021; Vergara-Perucich, Correa-Parra y Aguirre-Núñez, 2020).
CONCLUSIONES
El precio de la vivienda en Chile ha sido abordado desde la economía urbana pero pocos estudios lo hacen desde el urbanismo. Tampoco se aborda en escuelas de arquitectura. El precio en el diseño y la planificación de vivienda no debiese ser ajeno al conocimiento de quien ejercerá la profesión, más aún en ciudades segmentadas por poder de compra. Comprender cómo se determinan los precios de la vivienda permite saber cómo agregar valor al hábitat considerando que los factores económicos segregan a la población. Este trabajo busca, en dicho contexto, aportar una mirada urbanística orientada a enlazar la ciudad con los presupuestos de los hogares.
Como principales hallazgos, las comunas autosuficientes, en cuanto conjunto de variables explicativas del precio de la vivienda, indican que una comuna con recursos es también una comuna que propende a concentrar un alto valor de las propiedades. Por el contrario, la alta motorización de los barrios propende a explicar parte de un menor precio de la vivienda. Se confirma que barrios con bajo nivel socioeconómico tienden a presentar menor precio de la vivienda. Por otro lado, resulta interesante ver que el consumo eléctrico se asocia a un mayor precio de la vivienda, lo que puede dar cuenta de mayor acceso a la tecnología o a barrios con menor uso de combustibles en el funcionamiento cotidiano. De igual modo, llaman la atención como factores que explicarían un menor precio de la vivienda la presencia de plazas públicas y de comunas donde la oferta educativa no logra cubrir la demanda, es decir, donde hay más alumnos por sala. Estos hallazgos permiten dialogar con otro tipo de investigaciones que exploren tanto los SIEDU, como los determinantes de la calidad de vida urbana en comunas de Chile.
Es importante resaltar que este es un estudio exploratorio sobre variables existentes que no necesariamente determinan causalidad, sino que revisan si las relaciones entre los indicadores SIEDU con el precio de la vivienda son consistentes a la hora de proveer reflexiones útiles para estudios de economía urbana, lo que resulta afirmativo. De esta manera, este trabajo aprovecha el SIEDU para participar de una discusión clave como es la crisis de asequibilidad de la vivienda, desde un enfoque urbanístico, que pocas veces entra en el terreno de los precios como problema de estudio.
Si bien los resultados de las regresiones son contundentes, es clave recordar que el precio de la vivienda puede tener múltiples factores que lo condicionan, como los atributos internos, las tasas de interés o variables demográficas, medioambientales o sanitarias. Posiblemente, muchos de esos factores ofrecen otras explicaciones y, en una investigación intersectorial, otorgarían hallazgos valiosos. Sería valiosa, además, una investigación cualitativa de las características espaciales de aquellas comunas con mejores atributos explicativos de los precios de la vivienda para revisar cómo esa situación se representa en el entorno construido.
Tal como se mencionaba en un principio, el poder de compra y la condición monopolística del suelo han sido relevantes para los resultados aquí presentados, pero para entender cómo esto influye en el precio de la vivienda, ha sido fundamental el aporte reciente del SIEDU. Este sistema de indicadores deberá completarse en algún momento con nuevos datos; así, investigaciones similares a la que se ha presentado en estas páginas entregarán nuevas interpretaciones que complementen estos resultados.
INTRODUCTION
Housing prices in Chile are putting great pressure on household incomes (Vergara-Perucich & Boano, 2018). In 2019, the Chilean Chamber of Construction presented evidence to indicate that housing is becoming an unattainable asset for families (CNN Chile, May 10th, 2019). The lack of public housing provision systems, the increased role of financial entities in the real estate world, and the absence of price regulation systems, have allowed these values to exceed the payment capacity of an important part of households, generating a structural deficit that between 1998 and 2017 increased by 0.12%, despite that 498,444,111 UF being injected in the same period (Ministry of Housing and Urbanism [MINVU], 2021). Different approaches have presented findings about the way certain urban attributes explain part of house pricing. Cortés and Iturra (2019) state that facilities provided by the State tend to reduce the housing price, while those provided by the market tend to increase them. Encinas, Marmolejo-Duarte, Wagemann and Aguirre (2019) suggest meanwhile, that qualities related to sustainability are less relevant for consumers than the housing price, while the monopoly condition of the location allows explaining a large part of the sale price (Encinas, Aguirre, Truffelo & Hidalgo-Dattwyler, 2019). The commercial housing price in Chile is a critical aspect for households, but this is an issue that is lacking study. Specifically, this article explores housing prices considering the Urban Development and Standards Indicators System of the National Urban Development Council (SIEDU, in Spanish). Different studies have analyzed the makeup of Chilean house pricing using its built elements (Figueroa & Lever, 1992), typological qualities (Sagner, 2009), economic potential of the attributes (Iturra & Paredes, 2014; Quiroha, 2013), interest rates (Parrado, Cox & Fuenzalida, 2009), or the construction prices index (Silva & Vio, 2015). However, these works did not have access to the recently launched SIEDU, unlike what is expressed here, which mainly uses urbanistic elements. The findings of this research seek to complement previous approaches, privileging essential indicators for urban studies.
The purpose of this article lies in reporting the fundamental drivers of housing prices in Chile, starting from the urbanistic aspects reflected in the indicators for the 90 chosen communes. For this, 2047 new dwellings were recorded in Chilean cities with projects for sale in 2021. Complementarily, SIEDU indicators, which have data of the communes revised, were used to generate three approaches: a summary of variables with analysis of the main components, generated 11 synthetic components; a multiple linear regression to see which of the 11 components best explains the housing price; and a second regression with the 37 original variables. The results indicate that financial self-sufficiency of communes, residential segregation, and deficit are predominant factors that push the housing price up. These data can contribute to econometric studies that work with hedonic prices to theorize the fundamentals of each preparation, apart from giving information to other types of studies that explore the makeup of the new housing price in Chile.
THEORETICAL FRAMEWORK
One of the most addressed topics in urban economics is the pricing of the property market. There are different approaches with different, though convergent, methodological emphasis (Evans, 1985). One of the precursors was Johann von Thünen, who set out the guidelines to understand the importance of location to define the value of a property (García Ramón, 1976), assumptions that would later be applied in the city and its centralities by William Alonso in Bid Rent Theory in 1964. These initial assumptions indicated that housing prices depend on demographic factors, like the purchasing power of the households (Taltavull, 2003). From a view that focuses on urbanistic factors, Berry and Garrison (1958) state that the attributes of each neighborhood contribute towards defining the value of properties. In a large part of the specialized literature, there is consensus about the link between housing price, location, and urban attributes (Fujita, Krugman & Venables, 1999).
Econometrics have allowed understanding the relationship between the produced space and the commercial value of the city. Said relationship can be virtuous when it influences developers to seek optimal urban designs. This was one of the contributions of Case and Shiller (1990), who demonstrated the spatial self-correlation between housing prices and urban qualities, linking the attributes of the housing with those of the neighborhood. The study of housing prices is nourished by the theory of consumption and the economics of behavior, starting from the contributions of Michael Ball (1973), who explains these values through “fundamental” traits, i.e., the attributes of each dwelling that determine their sale value. Later, Allen Goodman (1978) -inspired by the ideas of Sherwin Rosen (1974)- prepared a hedonic housing price index, demonstrating how the qualities of the neighborhoods explain a good part of the prices. Currently, this is the most used commonly method to explain housing prices (Sheppard, 1999; Yavuz Ozalp & Akinci, 2017). It is worth adding that Ball (1973) emphasizes the importance of generating broad statistical guidelines to carry out this type of studies, with a sample representation that is statistically suitable for the tests, so that the conclusions generated are actually relevant in an issue as sensitive as housing.
In Chile, Figueroa and Lever (1992) propose as fundamental attributes in Santiago house pricing, the land surface, the presence of services and the socioeconomic level of the neighborhood, as well as the construction density. In 2009, Sagner identified the age of the dwelling and its surface area, as essential variables. Meanwhile, Paredes and Iturra (2014) say that this is about rental price, the number of bedrooms and bathrooms, the global housing quality index, the square meters, as well as the school level, age and gender of the dwelling’s inhabitants (Iturra & Paredes, 2014). According to Quiroga (2013), there are less hierarchical variables of the dwelling, like the number of bathrooms or owners that live in their own home, which affect the price of a neighborhood. For Parrado et al (2009), the interest rates and the increased income of households are key, along with a good balance between supply and demand of housing units. In this same vein, Silva and Vio (2015) highlight the influence of macroeconomic variables like available rent, interest rates, and construction costs in the housing price.
The expectation of the future housing price is a vector for pricing, despite the fact that this phenomenon could leave room for future property bubbles if there are no suitable regulations in place (Cohen, Ioannides & Wirathip Thanapisitikul, 2016; Cohen & Zabel, 2020). Financial players have been taking a leading role in the land market, which may generate a problem of accessibility to housing (Gasic, 2018), since land value is a driver given their monopolistic condition (Encinas, Aguirre et al., 2019). The role of the subsidiary State in injecting resources to the property market more than participating in the system as a housing production player is added to this (Hidalgo, Dattwyler, Paulsen Bilbao & Santana Rivas, 2016; Razmilic, 2010).
The relationship between housing prices and urban variables, like those of the SIEDU, has not yet been explored. This becomes relevant when factors are added to housing pricing from urbanistic aspects, which is key to foresee how urban improvements with public funds increase prices, without capturing the gains (Vergara-Perucich & Aguirre-Núñez, 2020). Understanding housing pricing is, in fact, essential. Facing inequality of negotiation in free market economies, property prices will depend greatly on the class leadership financial players with great purchasing power transferred to property equity take, which will even be accepted by the market as a symptom of profitability, although it reduces access to houses for households with limited purchasing power (Harvey, 1985). An excellent way to identify speculation in the housing market is by measuring the distance between price and fundamental attributes (Coskun & Jadevicius, 2017; Dreger & Zhang, 2013; Gil-Alana, Dettoni, Costamagna & Valenzuela, 2019). With Chile being in a housing access crisis (CNN Chile, May 10th, 2019), acknowledging how separated its housing price is from its essential variables, requires identifying the factors that determine that relationship.
CASE STUDY
The research focused on 90 communes where the average prices of new housing was recorded, for houses and apartments (Appendix 1). The data was collected from the websites, TOCTOC.com, Portalinmobiliario.com and Pabellon.cl, between December 2020 and January 2021. 2047 offers were listed: 554 houses and 1493 apartments. The average new housing price at a national level was 48.4 UF/m2. The values at a communal level are summarized in Figure 1.
METHODOLOGY
To evaluate the urban drivers of housing prices, work has been done using the Urban Development Standards and Indicators System, SIEDU. These indicators emerge from an agreement between the National Urban Development Council (CNDU, in Spanish), the Ministry of Housing and Urbanism (MINVU, in Spanish) and the National Statistics Institute, to measure urban quality of life to reduce inequalities, as well as to monitor the effectiveness of urban and housing policies (Spatial Data Infrastructure [IDE], 2021).
SIEDU considers 76 indicators for 117 communes with more than 50,000 inhabitants (CNDU, 2020), but not all the communes register data for the 76 indicators, so the number of indicators being analyzed had to be reduced, to allow a higher number of communes to enter the study. As some communes did not have projects, the decision was made to work with the 90 that did allow completing the sample of the 37 indicators. Despite the reduction, the sample continues to be varied and offers richness for the analysis, which could be compared in the future with new studies, similar to that presented in this article, but that use updated versions for all communes and all the variables of the SIEDU. It was later determined to recalculate the “Segregation index of vulnerable population” indicator with census data (Appendix 2), applying a dissimilarity index. SIEDU did not have complete information on public transportation, so the CASEN 2017 survey was used, through which the proportion of homes at least 8 blocks from bus stops was identified. Ultimately, the indicators used in the end, are shown in Table 1.
| Distance to public squares | Average important intersections every 1.44 km2 | Percentage of homes with family crowding situation |
| Public square surface area per inhabitant that complies with the distance standard (400 meters) | Number of casualties in traffic accidents per 100,000 inhabitants | Percentage of population in situation of poverty (income poverty -Ministry of Social Development (MDS)) |
| Distance to public Parks | Number of people injured in traffic accidents per 100,000 inhabitants | Percentage of population in situation of poverty (multidimensional poverty - MDS). |
| Percentage of population attended by public square system | Amount (kg) of final urban solid waste disposal per capita | Advanced human capital segregation index |
| Percentage of population attended by public parks system | Residential electricity consumption per capita | Number of crimes reported in the public space per 100 inhabitants |
| Public green areas surface per inhabitant | Non-residential electricity consumption per capita | Percentage of non-built surface area (barren sites) in urban areas |
| Distance to primary healthcare centers | Rate of fixed internet residential connections per 1,000 private homes | Difference between highest and lowest land value, in homogeneous (urban) areas defined by the Internal Revenue Service |
| Number of full shifts of primary healthcare physicians per 10,000 inhabitants | Unavailability of electricity supply – Annual SAIDI indicator | Percentage of domestic investment at a communal scale where the council takes part as contracting institution |
| Distance to primary education establishments | Percentage of blocks with paving in good condition | Updated communal regulatory plan |
| Ratio between effective availability of openings and potential demand for primary education. | Percentage of private homes that require improvements of materials and/or utilities | Participation of Municipal Common Fund (FCM, in Spanish) in the total municipal revenue (discounting transfers) |
| Distance to preschool education establishments | Requirement of new urban housing | Communal Regulatory Plan (PRC) acknowledges historic conservation properties and/or areas |
| At least 8 blocks from public transportation | Percentage of dwellings in an overcrowding situation | Percentage of participation in municipal elections, by commune |
| Percentage of public investment destined to projects that have heritage property restoration intervention processes over the total investment destined to projects with favorable recommendation | ||
Once this is defined, the principal component analysis technique (PCA) was applied as well as multiple linear regression. PCA is a study of the variables, whose purpose is to verify which of these have least correlation, breaking down self-values into matrices (Lalloué et al., 2013). The resulting factors generate new groups of variables, reducing the sample size, to thus facilitate the regression study (Addendum 3). A multiple linear regression was made with the main components (Cai & Liu, 2015; Rebelo, 2009), testing the influence that components have on the average housing price by commune, using the following formula:
Where,
β0: the value of variable Y when all predictors are 0
βi: the weighted effect of the increase of a unit of variable Xi over variable Y
ei: residual between the observed and estimated value of the model.
RESULTS
The application of PCA generates 11 components that summarize 71.6% of the variables analyzed, which are represented in Figure 2. The Kaiser-Meyer-Olkin test on the sample is 0.67, which indicates a suitable composition.
Starting from these components (Table 2), a multiple linear regression is made (Table 3), that generates 10 different models, where the model with the best fit integrates 10 components and explains 76% of the variations of the new housing price. The most relevant component is the condition of self-sufficient commune -FAC4-: communes with maintained green areas; with educational establishments; and low dependence on the municipal common fund; with low number of people in situation of multidimensional poverty. This is an original finding for the Chilean case. The following component that is highlighted, is the socioeconomic homogeneity of low incomes -FAC3.- related to the reduction of the housing price, against the high socioeconomic homogeneity -FAC1-, associated to the increase of value. This indicates that segregation does have an impact on the housing price, result that dialogs with the previous findings of Figueroa and Lever (1992), and with those of Sagner (2009). Another factor is the lack of affordable dwellings -FAC8-, from which an increase of value in those consolidated neighborhoods, with good quality public spaces -FAC5-, can be inferred. It is important to observe this result in light of the subsidiary logic of the State, as has already been said by Hidalgo Dattwyler et al. (2016) and by Razmilic (2010). Housing prices are linked to the reduction before dominant vehicle transit – FAC2-, periphery location -FAC6- and, to a lesser extent, to the presence of heritage neighborhoods -FAC9-. Finally, other elements linked to the price increase are the moderate density -FAC11- and a good system of urban governance -FAC7- with updated tools and public investment.
| FAC1: High socioeconomic homogeneity of the neighborhood | Concentrates socioeconomic homogeneity indicators for high income classes |
| FAC2: Significant motorized private vehicle transit | Communes that have suburban areas and where the roads and vehicle transit is relevant |
| FAC3: Low socioeconomic homogeneity of the neighborhood | Concentrates socioeconomic homogeneity indicators for low income classes |
| FAC4: Self-sufficient communes | Communes with good municipal budget, homes with technology and with good access to public property |
| FAC5: Suitable public spaces | Good distribution of public properties and services |
| FAC6: Urban periphery border | Made up of spaces with barren sites within urbanizations, low access to electricity supply, segregation, and presence of precarious dwellings |
| FAC7: Urban governance | Communes with updated regional planning tools |
| FAC8: Public safety | High numbers of crime reports |
| FAC9: Heritage neighborhoods | Heritage management in central areas |
| FAC10: Zones under urban renewal | Heterogenous land value without historic property and with a social mix |
| FAC11: Moderate density | High housing demand, high production of solid waste, with family crowding and overcrowding situation |
Complementarily, a multiple linear regression is made with the 37 SIEDU indicators. In this model (Table 4), the variables explain 83.4% of the price variance, although in this case, some of them are at the collinearity tolerance limit, i.e., the explicative arguments could repeat. Among the variables related to price increase, are the residential electricity consumption, the important road intersections for every 1.44 km2, and the new housing demand in the commune. On the other hand, factors associated to reducing housing price, are the budgetary dependance on the Municipal Common Fund, the surface of public squares at 400 meters, and the availability of openings for primary education.
Finally, taking the commune of La Pintana as an example, starting from the model, a housing price of 36.9 UF/m2 is projected, only 6% different from the market value. Using the regression formula, three hypotheses expressed in Table 5 are proposed.
In the first hypothesis (i), if La Pintana doubles public square areas, the housing price is reduced by 7%. To explain this counterintuitive result, it can be stated that the presence of public squares does not necessarily guarantee their upkeep by municipalities and that, as a result, the drop in price expressed is a reflection of the deterioration of the public space. In the second hypothesis (ii), if La Pintana reduces its dependence on the Municipal Common Fund by half, the housing price increases by 14%, which is the effect of the municipality’s financial autonomy, as indicated in the regressions results. In the last hypothesis (iii), if the housing demand is doubled, the price increases by 13%, which is explained by the supply and demand dynamic (Nordhaus & Samuelson, 2006). It is worth mentioning that news on an extension of the Metro to La Pintana, would be accompanied by an increase in housing requirements, so it would be key to check whether the inhabitants of this commune could afford to stay there.
DISCUSSIONS
The results presented provide novel elements to progress in the understanding of the definition of housing prices, as well as the financial capacity of communes and their independence from the Municipal Common Fund. To illustrate this characteristic, it is necessary to mention that the communes with the highest values in FAC4 are Santo Domingo, Providencia, Santiago, Casablanca and Vitacura: wealthy municipalities that mark an increase in the values, starting from which, socioeconomic exclusion is generated. Likewise, it must be underlined that the housing price has a clear relationship with the socioeconomic homogeneity of the commune, a situation that reveals the importance of generating inclusive affordable housing mechanisms to break segregation. This is just as has been shown in other studies that have sought to explain this phenomenon from other approaches (Hidalgo Dattwyler et al., 2016).
In general, neighborhoods with easy access to goods and services, which are peri-central, socioeconomically homogeneous, pedestrian friendly, and in a resident renewal process, seem to be linked to an increase in housing prices. While spaces with a predominance of roads on the urban borders, or in abandoned centralities, are left linked to the reduction of said price. This ratifies an observation made by Encinas, Aguirre et al. (2019): the monopolistic condition of the land is key in the definition of housing prices. Based on these results, it is possible to detail the most profitable attributes of those locations, that are features from which capital gains could be a regional equality alternative to be explored (Vergara-Perucich & Aguirre-Núñez, 2020).
On the second regression, the statements of Cortes and Iturra (2019) on that the services provided by the State negatively affect housing prices compared to those provided by the market, match the results of this analysis, although this is not the same for all types of State services. It can be inferred that specific public services are linked to a lower housing price, which can refer to uses where the market has a lesser role, such as public schools or squares. However, there are more desirable public services, such as road quality and electricity.
SIEDU must complete its variables with financialization and subsidiarity measures if it seeks that the diagnoses point to an inclusive and integrated city. In the theoretical framework presented here, it was indicated that previous studies considering macroeconomic data are fundamental to explain the housing price (Parrado et al., 2009; Silva & Vio, 2015). These aspects have a difficult material representation, but not because of this are they less urbanistic. On this point, the study has not been able to revise whether the financial entities with land ownership put pressure on housing prices, or if the presence of projects with subsidies reduces them. It is recommended to include in SIEDU, the outstanding payment rate, the local mortgage interest rate, the number of dwellings acquired with financial instruments, the local or regional CPI, and the concentration of ownership in people who do not live in the area, to monitor potential financial crises starting from urban processes (Gil-Alana et al., 2019). Likewise, it is necessary to include health and mortality factors from the Ministry of Health. The latter, is part of the lessons that the pandemic leaves behind: health problems are territorial (Mena et al., 2021; Vergara-Perucich, Correa-Parra & Aguirre-Núñez, 2020).
CONCLUSIONS
Chilean housing prices have been addressed from urban economics, but few studies have done so from urbanism. Nor has this been addressed in architecture schools. The price in housing design and planning must not be outside the knowledge of those working in the profession, even more so in cities segmented by purchasing power. Understanding how housing prices are determined, allows knowing how to add value to the habitat, considering that economic factors segregate the population. This work seeks in this context, to contribute with an urbanistic view focusing on linking the city with household budgets.
As main findings, self-sufficient communes, regarding the set of variables behind housing prices, indicate that a commune with resources is also a commune that tends to concentrate a high property value. On the contrary, the high motorization of neighborhoods tends to explain part of a lower housing price. It is confirmed that neighborhoods with low socioeconomic levels tend to have a lower housing price. On the other hand, it is interesting to see that electricity consumption is associated to a higher housing price, which can reveal greater access to technology or to neighborhoods with lower fuel use in daily life. Likewise, it is interesting how factors like the presence of public squares or communes where the educational offer does not cover the demand, i.e., there are more students per classroom, would explain a lower housing price. These findings allow dialoging with another kind of research that explores both the SIEDU, and the drivers of urban life quality in Chilean communes.
It is important to highlight that this is an exploratory study on existing variables that do not necessarily determine causality, but rather review whether the relationships between the SIEDU indicators and the housing price are consistent when it comes to providing useful reflections for urban economy studies, which they do. In this way, this work takes advantage of the SIEDU to take part in a key discussion on the affordable housing crisis, from an urbanistic approach, which rarely goes into the field of prices as a study problem.
Although the regressions results are conclusive, it is key to remember that housing prices can have multiple factors behind them, like the internal attributes, interest rates, or demographic, environmental or health variables. Possibly, many of these factors offer other explanations and, an inter-sectorial research would provide valuable findings. A qualitative research of the spatial characteristics of those communes with better explicative attributes of housing prices would also be valuable to review how this situation is represented in the built environment.
Just as was mentioned at the beginning, purchasing power and monopolistic land conditions have been relevant for the results presented here, but to understand how this affects the housing price, the recent contribution of SIEDU has been fundamental. This system of indicators must be complemented at some point with new data, where similar research to that presented here will provide new interpretations that complement these results.
Agradecimientos
Este artículo se encuentra financiado por el proyecto “hacia una teoría sustantiva del urbanismo informal: macrocampamento Los Arenales y edificios superdensos de Estación Central” ANID-FONDECYT 11180569.
This article is funded by the project "Towards a substantive theory of informal urbanism: Los Arenales macrocampamento and super dense buildings in Estación Central" ANID-FONDECYT 11180569.
REFERENCIAS BIBLIOGRÁFICAS
BALL, M. J. (1973). Recent empirical work on the determinants of relative house prices. Urban Studies, 10(2), 213-233.
BERRY, B. J. L. Y GARRISON, W. L. (1958). The Functional Bases of the Central Place Hierarchy. Economic Geography, 34(2), 145. DOI: https://doi.org/10.2307/142299
CAI, L. Y LIU, A. Y. C. (2015). Wage differentials between immigrants and the native-born in Australia. International Journal of Manpower, 36(3), 374–396. DOI: https://doi.org/10.1108/IJM-04-2014-0104
CASE, K. E. Y SHILLER R. J. (1990). Forecasting Prices and Excess Returns in the Housing Market. American Real Estate and Urban Economics Association Journal, 18(3), 253–273.
CNN CHILE (10 mayo 2019). Presidente del CChC advierte “crisis social” por difícil acceso a viviendas: “Se está convirtiendo en un bien inalcanzable.” Recuperado de https://www.cnnchile.com/economia/presidente-del-cchc-advierte-crisis-social-por-dificil-acceso-a-viviendas-se-esta-convirtiendo-en-un-bien-inalcanzable_20190510/
COHEN, J. P., IOANNIDES, Y. M. Y WIRATHIP THANAPISITIKUL, W. (2016). Spatial effects and house price dynamics in the USA. Journal of Housing Economics, 31, 1-13. DOI: https://doi.org/10.1016/j.jhe.2015.10.006
COHEN, J. P. Y ZABEL, J. (2020). Local House Price Diffusion. Real Estate Economics. DOI: https://doi.org/10.1111/1540-6229.12241
CONSEJO NACIONAL DE DESARROLLO URBANO [CNDU]. (2020). Sistema de Indicadores y Estándares Urbanos. Recuperado de https://cndu.gob.cl/indicadores-2/
CORTÉS, Y. E ITURRA, V. (2019). Market versus public provision of local goods: An analysis of amenity capitalization within the Metropolitan Region of Santiago de Chile. Cities, 89, 92–104. DOI: https://doi.org/10.1016/j.cities.2019.01.015
COSKUN, Y. Y JADEVICIUS, A. (2017). Is There a Housing Bubble in Turkey? De Gruyter Open, 25(1), 48–73. DOI: https://doi.org/10.1515/remav-2017-0003
DREGER, C. Y ZHANG, Y. (2013). Is there a Bubble in the Chinese Housing Market? Urban Policy and Research, 31(1), 27–39. DOI: https://doi.org/10.1080/08111146.2012.711248
ENCINAS, F., AGUIRRE, C., TRUFFELLO, R. E HIDALGO-DATTWYLER, R. (2019). Speculation, land rent, and the neoliberal city. Or why free market is not enough. Revista ARQ, 1(102), 2–15.
ENCINAS, F., MARMOLEJO-DUARTE, C., WAGEMANN, E. Y AGUIRRE, C. (2019). Energy-Efficient Real Estate or How It Is Perceived by Potential Homebuyers in Four Latin American Countries. Sustainability, 11(13), 3531. DOI: https://doi.org/10.3390/su11133531
EVANS, A. W. (1985). Urban Economics: An Introduction. Oxford: Blackwell Publishers Ltd.
FIGUEROA, E. Y LEVER, G. (1992). Determinantes del Precio de la Vivienda en Santiago: Una estimación hedónica. Estudios de Economía, 19(1), 67-84.
FUJITA, M., KRUGMAN, P. R. Y VENABLES, A. (1999). The spatial economy: Cities, regions, and international trade. Boston: MIT press.
GARCÍA RAMÓN, M. D. (1976). Valor actual del modelo de Von Thünen y dos comprobaciones empíricas. Revista de geografia, 1(10). 11-33. Recuperado de: https://core.ac.uk/download/pdf/39036311.pdf
GASIC, I. (2018). Inversiones e intermediaciones financieras en el mercado del suelo urbano. Principales hallazgos a partir del estudio de transacciones de terrenos en Santiago de Chile, 2010-2015. EURE (Santiago), 44(133), pp. 29-50. DOI: https://dx.doi.org/10.4067/s0250-71612018000300029
GIL-ALANA, L. A., DETTONI, R., COSTAMAGNA, R. Y VALENZUELA, M. (2019). Rational bubbles in the real housing stock market: Empirical evidence from Santiago de Chile. Research in International Business and Finance, 49, 269–281. DOI: https://doi.org/10.1016/j.ribaf.2019.03.010
GOODMAN, A. C. (1978). Hedonic prices, price indices and housing markets. Journal of Urban Economics, 5(4), 471-484. DOI:10.1016/0094-1190(78)90004-9
HARVEY, D. (1985). The urbanization of capital. Studies in the history and theory of Capitalist Urbanization. Baltimore: The Johns Hopkins University Press, Primera Edición.
HIDALGO DATTWYLER, R., PAULSEN BILBAO, A. Y SANTANA RIVAS, L. (2016). El neoliberalismo subsidiario y la búsqueda de justicia e igualdad en el acceso a la vivienda social: El caso de Santiago de Chile (1970-2015). Andamios, 13(32), 57–81.
INFRAESTRUCTURA DE DATOS ESPACIALES [IDE] (2021). Sistema de Indicadores de Desarrollo Urbano (SIEDU), la nueva herramienta para avanzar en la equidad urbana. Ministerio de Bienes Nacionales. Recuperado de https://www.ide.cl/index.php/noticias/item/1920-sistema-de-indicadores-de-desarrollo-urbano-siedu-la-nueva-herramienta-para-avanzar-en-la-equidad-urbana
ITURRA, V. Y PAREDES, D. (2014). Construction of a spatial housing price index by estimating an almost ideal demand system. Tijdschrift Voor Economische En Sociale Geografie, 105(3), 301–314. DOI: https://doi.org/10.1111/tesg.12067
LALLOUÉ, B., MONNEZ, J.-M., PADILLA, C., KIHAL, W., LE MEUR, N., ZMIROU-NAVIER, D. Y DEGUEN, S. (2013). A statistical procedure to create a neighborhood socioeconomic index for health inequalities analysis. International Journal for Equity in Health, 12(1), 1-11. DOI: https://doi.org/10.1186/1475-9276-12-21
MENA, G., MARTÍNEZ, P. P., MAHMUD, A. S., MARQUET, P. A., BUCKEE, C. O. Y SANTILLANA, M. (2021). Socioeconomic status determines COVID-19 incidence and related mortality in Santiago, Chile. MedRxiv : The Preprint Server for Health Sciences. DOI: https://doi.org/10.1101/2021.01.12.21249682
MINISTERIO DE VIVIENDA Y URBANISMO [MINVU]. (2021). Estadísticas Habitacionales. Recuperado de https://www.observatoriourbano.cl/estadisticas-habitacionales/
NORDHAUS, W. D. Y SAMUELSON, P. A. (2006). Economía. Buenos Aires: Mac Graw Hill.
PARRADO, H. E., COX, P. P. Y FUENZALIDA, C. M. (2009). Evolucion de los Precios de Viviendas en Chile. Economia Chilena, 12(1).
QUIROGA, B. F. (2013). Hedonic Estimation with Unobserved Characteristics: An Application to the Housing Market in Santiago, Chile. SSRN Electronic Journal. https://doi.org/10.2139/ssrn.2356019
RAZMILIC, S. A. (2010). Property values , housing subsidies and incentives: evidence from Chile’s housing policies by Property values, housing subsidies and incentives: evidence from Chile’s housing policies. Massachusetts Institute of Technology. Recuperado de https://dspace.mit.edu/bitstream/handle/1721.1/62112/708579235-MIT.pdf?sequence=2&isAllowed=y
REBELO, E. M. (2009). Land economic rent computation for urban planning and fiscal purposes. Land Use Policy, 26(3), 521–534. DOI: https://doi.org/10.1016/j.landusepol.2008.07.008
ROSEN, S. (1974). Hedonic prices and implicit markets: Product differentiation in pure competition. Journal of Political Economy, 82(1), 34-55.
SAGNER, A. (2009). Determinantes del precio de viviendas en Chile. Documentos de Trabajo (Banco Central de Chile), (549). Recuperado de: https://www.bcentral.cl/documents/33528/133326/bcch_archivo_096953_es.pdf/f286badb-e6b5-b24e-1bc9-dfaef8234a6f?t=1573273496257
SHEPPARD, S. (1999). Chapter 41 Hedonic analysis of housing markets. Handbook of Regional and Urban Economics, 3, 1595-1635. DOI: https://doi.org/10.1016/S1574-0080(99)80010-8
SILVA, C. G. Y VIO, C. (2015). Los precios de vivienda y factores macroeconómicos: el caso de Chile. Economía chilena, 18(1). 1-21. Recuperado de: https://hdl.handle.net/20.500.12580/3570
TALTAVULL DE LA PAZ, P. (2003). Determinants of housing prices in Spanish cities. Journal of Property Investment & Finance, 21(2), 109-135. DOI: http://dx.doi.org/10.1108/14635780310469102
VERGARA-PERUCICH, F. Y AGUIRRE-NÚÑEZ, C. (2020). Urban capital gain recovery simulation for line 3 of the Santiago Metro. Architecture, City and Environment, 14(42), 8963-8984. DOI: https://doi.org/10.5821/ace.14.42.8963
VERGARA-PERUCICH, F. Y BOANO, C. (2018). El precio por el derecho a la ciudad ante el auge de campamentos en Chile . T he rise of urban slums in Chile. Revista AUS, (26), 51–57. DOI: https://doi.org/10.4206/aus.2019.n26-09
VERGARA-PERUCICH, F., CORREA-PARRA, J. Y AGUIRRE-NUÑEZ, C. (2020). Spatial correlation between COVID-19 propagation and vulnerable urban areas in Santiago de Chile. Critical Housing Analysis, 7(2), 21-35. DOI: 10.13060/23362839.2020.7.2.512
YAVUZ OZALP, A. Y AKINCI, H. (2017). The use of hedonic pricing method to determine the parameters affecting residential real estate prices. Arabian Journal of Geosciences, 10(24), 1-13. DOI: https://doi.org/10.1007/s12517-017-3331-3